题目描述
给你一棵二叉树的根节点 root,翻转这棵二叉树,并返回其根节点。
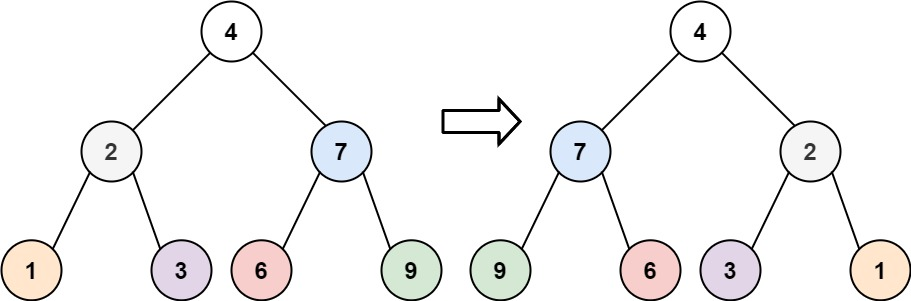
示例 1:

输入:root = [4,2,7,1,3,6,9]
输出:[4,7,2,9,6,3,1]
示例 2:

输入:root = [2,1,3]
输出:[2,3,1]
示例 3:
输入:root = []
输出:[]
思路&js代码
1、递归
var invertTree = function(root) {
if (root === null) {
return null;
}
const left = invertTree(root.left);
const right = invertTree(root.right);
root.left = right;
root.right = left;
return root;
};