题目描述
给你两个单链表的头节点 headA 和 headB,请你找出并返回两个单链表相交的起始节点。如果两个链表不存在相交节点,返回 null。
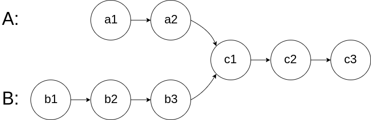
图示两个链表在节点 c1 开始相交:

题目数据 保证 整个链式结构中不存在环。
注意,函数返回结果后,链表必须 保持其原始结构。
自定义评测:
评测系统 的输入如下(你设计的程序 不适用 此输入):
intersectVal - 相交的起始节点的值。如果不存在相交节点,这一值为 0
listA - 第一个链表
listB - 第二个链表
skipA - 在 listA 中(从头节点开始)跳到交叉节点的节点数
skipB - 在 listB 中(从头节点开始)跳到交叉节点的节点数
评测系统将根据这些输入创建链式数据结构,并将两个头节点 headA 和 headB 传递给你的程序。如果程序能够正确返回相交节点,那么你的解决方案将被 视作正确答案。
思路&js代码
1、哈希集合
var getIntersectionNode = function (headA, headB) {
const set = new Set()
let tmp = headA
while (tmp !== null) {
set.add(tmp)
tmp = tmp.next
}
tmp = headB
while (tmp !== null) {
if (set.has(tmp)) {
return tmp
}
tmp = tmp.next
}
return null
};