题目描述
给你一个链表的头节点 head,判断链表中是否有环。
如果链表中有某个节点,可以通过连续跟踪 next 指针再次到达,则链表中存在环。为了表示给定链表中的环,评测系统内部使用整数 pos 来表示链表尾连接到链表中的位置(索引从 0 开始)。注意:pos 不作为参数进行传递。仅仅是为了标识链表的实际情况。
如果链表中存在环,则返回 true。否则,返回 false。
示例 1:

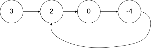
输入:head = [3,2,0,-4], pos = 1
输出:true
解释:链表中有一个环,其尾部连接到第二个节点。
示例 2:

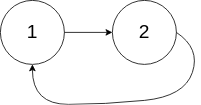
输入:head = [1,2], pos = 0
输出:true
解释:链表中有一个环,其尾部连接到第一个节点。
示例 3:

输入:head = [1], pos = -1
输出:false
解释:链表中没有环。
思路&js代码
1、哈希集合
var hasCycle = function (head) {
const set = new Set()
while (head) {
if (!set.has(head)) {
set.add(head)
head = head.next
} else {
return true
}
}
return false
};