题目描述
给你一棵二叉树的根节点,返回该树的 直径。 二叉树的 直径 是指树中任意两个节点之间最长路径的 长度。这条路径可能经过也可能不经过根节点 root。 两节点之间路径的 长度 由它们之间边数表示。
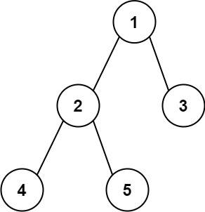
示例 1:

输入:root = [1,2,3,4,5]
输出:3
解释:3,取路径 [4,2,1,3] 或 [5,2,1,3] 的长度。
示例 2:
输入:root = [1,2]
输出:1
思路&js代码
1、深度优先搜索
var diameterOfBinaryTree = function(root) {
let ans = 0;
function dfs(node) {
if (node === null) {
return -1; // 对于叶子来说,链长就是 -1+1=0
}
const lLen = dfs(node.left) + 1; // 左子树最大链长+1
const rLen = dfs(node.right) + 1; // 右子树最大链长+1
ans = Math.max(ans, lLen + rLen); // 两条链拼成路径
return Math.max(lLen, rLen); // 当前子树最大链长
}
dfs(root);
return ans;
};