题目描述
给定一个二叉树 root,返回其最大深度。 二叉树的 最大深度 是指从根节点到最远叶子节点的最长路径上的节点数。
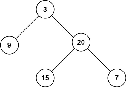
示例 1:

输入:root = [3,9,20,null,null,15,7]
输出:3
示例 2:
输入:root = [1,null,2]
输出:2
思路&js代码
1、深度优先搜索
class Solution {
public:
int maxDepth(TreeNode* root) {
if (root == nullptr) return 0;
return max(maxDepth(root->left), maxDepth(root->right)) + 1;
}
};2、广度优先搜索
const maxDepth = (root) => {
if (root == null) return 0;
const queue = [root];
let depth = 1;
while (queue.length) {
// 当前层的节点个数
const levelSize = queue.length;
// 逐个让当前层的节点出列
for (let i = 0; i < levelSize; i++) {
// 当前出列的节点
const cur = queue.shift();
// 左右子节点入列
if (cur.left) queue.push(cur.left);
if (cur.right) queue.push(cur.right);
}
// 当前层所有节点已经出列,如果队列不为空,说明有下一层节点,depth+1
if (queue.length) depth++;
}
return depth;
};