题目描述
给你二叉树的根节点 root,返回其节点值的 层序遍历。(即逐层地,从左到右访问所有节点)。
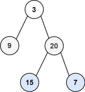
示例 1:

输入:root = [3,9,20,null,null,15,7]
输出:[[3],[9,20],[15,7]]
示例 2:
输入:root = [1]
输出:[[1]]
示例 3:
输入:root = []
输出:[]
思路&js代码
1、广度优先搜索
var levelOrder = function(root) {
const ret = [];
if (!root) {
return ret;
}
const q = [];
q.push(root);
while (q.length !== 0) {
const currentLevelSize = q.length;
ret.push([]);
for (let i = 1; i <= currentLevelSize; ++i) {
const node = q.shift();
ret[ret.length - 1].push(node.val);
if (node.left) q.push(node.left);
if (node.right) q.push(node.right);
}
}
return ret;
};