题目描述
二叉树中的 路径 被定义为一条节点序列,序列中每对相邻节点之间都存在一条边。同一个节点在一条路径序列中 至多出现一次。该路径 至少包含一个 节点,且不一定经过根节点。
路径和 是路径中各节点值的总和。
给你一个二叉树的根节点 root,返回其 最大路径和。
示例 1:

输入:root = [1,2,3]
输出:6
解释:最优路径是 2 → 1 → 3,路径和为 2 + 1 + 3 = 6
示例 2:

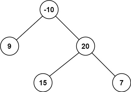
输入:root = [-10,9,20,null,null,15,7]
输出:42
解释:最优路径是 15 → 20 → 7,路径和为 15 + 20 + 7 = 42
思路&js代码
1、递归
dfs 返回的是链的节点值之和
var maxPathSum = function(root) {
let ans = -Infinity;
// dfs 返回的是链的节点值之和
function dfs(node) {
if (node === null) {
return 0; // 没有节点,和为 0
}
const lVal = dfs(node.left); // 左子树最大链和
const rVal = dfs(node.right); // 右子树最大链和
ans = Math.max(ans, lVal + rVal + node.val); // 两条链拼成路径
return Math.max(Math.max(lVal, rVal) + node.val, 0); // 当前子树最大链和(注意这里和 0 取最大值了)
}
dfs(root);
return ans;
};